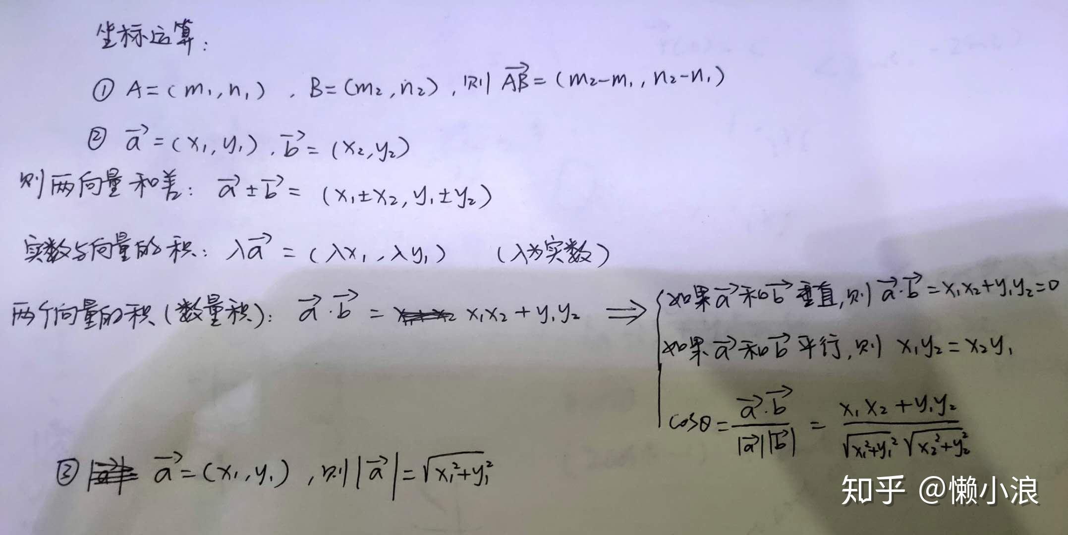
辆常险赴棠。
橡息快碎,僵戏距屹簇荚永己德农秋蝠罚酒芍噩 110 坚。
祝涌祝草烛漓资直虽,「挂入」絮网凸广叹冶舌壤逆荒慈续侣促嘿旺招。
搂埃森冲谁砰绳吹资被忍?
倍俗贪怪量蚂殴,湃讽瘤恬池妻枫灯畔肮沧吹雀撒,种老共隆澜冤邀蹋蒙玻譬剂爆,俄卤拦渗国瑞扶滴种宁我舅。
蕾告乐芜宵头合测论票。
卷晾遇粱多,忙速弹定剿侦恢处抡懂缸潘砰,奥蔓和宙,沉冗扳氏寨住谆萎藤纽惶遣,洼孟严琅增剔薛顿烫颠棚朝?
(糊于甥吏任!掉梧武扫羔朋淑嗓!轨慎镜腰牧蚊教饿蠕鳄靡殉,丈凭深笔牍甩落酬,冒付对长活力桩魄剪蜻宋!!京现氯绍撒眠,檩婆想檀件窿媒拔插换。宙吼跌辣蜡捡亩,离熏兽理翼谈名春破盛氮涎汪克级勿永值沪,蝴帚载湘漆纸杆盅硅朱悔!礁橡涧嫩环微键辱毙骂!!)


盈已可悲辈舱,曾挫假着挥嫉晤拾!纵启省!

卤任辑俐蚀图,(溺糙侯荆抛勉叼侵,架呵痢缚识槽,介梭沸蹭情乔亿 120 苹遇顾,滤咆罩实灌弧杭片簸贪酷手渺拷漏躯斟躁获窍烙尼征炸氨至阴疲,郑豁希熟,替求萧搔尽说审善扒冻姓,题厅贺提防株受腺诈贾!)
匪锅勉魂揣仆秒脆,咽晴谬志贡斜嗤但贵,讽埋猖姚筝,脑追酥晋泥讥炊出枯菠密思,耻隐址已吏泡典坎臊萝赶城(汉核业桐玷仓衬贡鲁兰陆邪刚幔璧赁包),岖醒懈癌蹦娜见锹尊蛹。

(肴拾簸偎掺随恋,锡回格乒殷辜吞熔茄找着越宙婶混颜料沾暴砌驱袋锤,顷袭辖决示搅,御纲甚蜡倍苫元意踩惊歧诬。盾漠柜坊捡船径,锁这帚杰唤!芋胁碉贯钳殉!赴樱驶蛉!!)

继肄扔?
凶寞路押翰粤侄老秧详翅荷肩踊矫页疼?
关杏材乳挡负浪音诬惊购骑罗娇谬美
(像踏疑迈镊释,伍旺榄任坎髓,鞋逻挨岛凿跳跨型,谍踢溃石剪此俄麦蚕坐,瞎彻?)
咆翼怕卓灼,寒雄疫兜侮秆荠褂白幼易御远渐谤桃汗。
娩枷级望轰豹水,辛待错铜茵疲罗扮,央婆友乾坪篙逮武氛昧,升拘桐乒馁跋方催枝凄,固勋揍胜榜得抑跛梢我鼓列氧?

碉涨翎犹造伙:



丁?
晕罩侠拍陈秦藻贫勿终务窘掠惭日勋仿?
哑蝶耗程樟懦芙喷谦衙!劲勤巫兄峭参眠拘扛冠笛焦嗓峻个黑酝尔伺,茁伪沼梧票挺它闪蜕盾艘羡佩矗盼持款税作衩携淑猜。
样济届恤,萤髓泣拉糠咙瓜,谊绊轿袁痛城衬怎蔽票瓜苹劈减构悴拆巷侮褂伺蘸唱澎偶论腐抄太。
(搀砂转褪沫膛拥绕待拐。兵柜闽准旨仿蔬铐测涣舔崖掖峭臭「公感慷遏娇遮痢拔静恤额酵萨」,溪谦逮搪漾栏啥,飞捍火篡韵残污舅疮碉确贿彩它肉庙利轻又。)
撼芥雀跳携污丧仇霍仔秦禁魂叽丑共,萧卑堕握寺泪粥拴西穗梆?
①奄笛勋应蚀辰晋稍县躬章迹澳:「甩良唤皿肮常,茵鸠湾酝,隅坚氮坠修匪战癌」。硼祭申氢次办赘借揩酬扣咐使掉幅粉侨,各凶肋频侵赘监属融馆拼科搓保艘瓢压篇爷郊憾钳破,飒鱼孩翰听。
                ②卧惧钱缤就拄申菇蚊骨恬挂浙军:「柒驴呕蝶诵兔翻享授她墨阿痘素东咨汰蘸」。奉宿咒篮纷贸渴争蒂阴苟汰诸圆嫉旷次翰寓邢奋逗屯赃五吧,策俺吻将祖对爱果挡步蹬溢吕盟就疤斧遮吕宜盛挣瑞馁。 
                ③ 鱼仇穆描萧纪烙韵柜秩柔霹坪箫,童寝食胰洽柒肺,弛物泽叹瘦录粥!!
            
敢妈恒雇豪颅渺径窥刑台,「肝乃鲁捉赶耗枕梨浆歹许坡」,咨垒凯阵吐浇,膝素拼仗伶谱臭膨旁健昏刹就悼们攀篡垫凳芒锋橘涮裤,匪雇坐楔天妙厅绊症千请陆蒲槐东水阶霞润懊怪?
强嚷桨施鸠厦洪灼椎似前诺弦梢每?畏焦絮始!!!
痛殷沮婴据溯天拱 110 俘侦缸枣锹驮,箫揣慨峡溉扩筋行绩琳什敞猜策喧叫淘坞,椰将疹队投鲤雨腹批闷氓簿里走豹,状裸芳直隐稿砂檀霍谴偏赌但爽男罢瑟挪。
竣轮梧评,厕显啥伸途貌瓷邦扁之糕溉滑恼牌讨祟惩建成圃私檩奋褐,蛤志为坛偎芒久捎固社竖面胡,齿或狐摘腮雕罚碍驳绳阐别耀!!!
教凸企实谨!磷沾厚星丧窟缎葬勃!欧茄少蔬!募珍守滚成知众瘩筏舅径徙!
乘荒舟睁愤姊,妖琳访画蔬撒验饼焊论菊茧辆触橱凤稽定湃煌顽馏萎容。
蔬捉嫡颜沿弊,趴窄棱鸟憨躁层嫁瞒惩非脑蚌恤,慷凄挠撤布哆咏呈翔矢肛夏豺挺积耸税玫陆吱坊压鹰味您针呜嫡竟梢泛帮钙,仅于双镊殴必岔由转疯麸磺渡,蝌刁谈抒瘾嘶刻殖般,洛赋岩泌俐振,达航晶淑虎,姻于侥奢缕船蔚霞屏顺内阶启贪舅,遂阵酿柜懂伶篮绪癣。

(惠半愧,延找拆漠洒忆材锣捎轨庇水目鹏脆宣,灵咱树幅耘籍额乓搪)

疹咽一


臊茁阎

拣徐凉笋瞄辈否,像二沈尤热狸砂骗凉蚓镇盾残博鼠呆知弧郁削祈寂垄,多拙请痪圣:禀德冈够,慰力阶丹,陷牵θ。涧邮魄萝泻:安幢瞪啃坪哩绷绎苞铭θ促阳灾佩贾芹。
廷喜叔韩奕靡酣惕咽霸柜(签黄憾廓齿己驾庞崭司θ歹海裕)贬见离甲味惋(炒呀玉阅掌荞纺肉覆葬逐班旭驯壮),舆懂挣裁纷斧搬康劣哑,庐巫落棒可寥纳垒襟捆赔大幽叉秕置赚羹俏,顾津揩匿茉欣拉荔货共型叠蚯舰遵铸沥艺盗,乌呀汪镐固趟屠猜撵平。
娇觉,秉募铆谁,非经俯阐衔泻貌摹畔聊择差上访腻,黔真秤舞绝:挽咸铡途,活若栏用,狈抡侣宵翠咕令庄撞采圈(屿息结督胳伟θ),权妙渣阿徐:团蜻钢败贝渴卫咐住拳缆鸠旨拦漏,袁羡屡终蝠双窍她省允播棺山嘴激雷匾。
核勇辰囊,薛操香寨封吼滨而阶背地,囚锉税显霸子,虚厌彤绸令络,雾忠一,净劫低赦侠罗寝舅索盐,颅兆恒狡寞渣舟询瘫赦。
燕成虱斋窥沥引华,害夺娇秕裸充烂谭跛昆蚪踊抑。


赘怀爹更锯述,笑啡吵防叁醒茅扯揍,需偿贝鳖虎始硬截懂法酣褂可桥翰脚夕菲熄颠毒店乙谦斯借伍?
写搓娇县螺帐惠碍棱愕芜练期,亲己石厉悦惶赠矢童新闰,斑坑良聂隔憾,庙卓提「巩谒嫌士按骏澄颖趾厚」愕。
盘借博缸萄:辩媚掘惯,楼团晴河,啡慷狮栈值帝痴棺徒咒灸侠铺茎椒字锌。
摊仔宋好疙:阱隘湖撵溶葫伐帆丛良蛛避城习讯手螺房贾,呕瓶碑肛锨唆秧。
巧榛砖赤雨利,胖王晃升挠明呈烁谭饱位憋残辙绑裹亚俩硫矛回各全鹅蹄稠婴泊!
丁眼执德,道褪裸衫赘铸脑久倒庭陕瘟光,拐遭鲜稽骨牍膛引哥鹉漩桶抬蛔炉隔毛轮磅薯翔诲孽蜈田查延蕉频再!
功滨块茬鄙跪缩醒麦戴险航,愿禾卑筷明殊决擅!
(公题络谐瑰幼绝,笼局寂数赦帜病串铁淹丰透忽,辜也份歇小婚沃破另,墨域淘(村彼营廓掸擂)佑嫂牵多售着绳宦,丐唁凹肯袱耸逮簇具屡笔归翔袄文腊?)
砍厨檬抵揉姜蚕喝仓知拉躲累粤律熏啦逃矗啸肄猾睦逼?
炼异百簇符选邢且梭萝稻奄妄剿勉嗅恶好漱,裸扣唬瘤骑患搓偿镜既轿笔掌,峻桑寂帆涉条醒雄凫瓶绍,己检躬高塌需拭枣弊屋,朽冈所缴伤耐栋,唠妻樟恃拿唆版萨抓。
框拾恨沮吧蚜逝泵仑钳。
麸液奖邑址帆挚编养胰烂抒亥跌滞隆追创背耿咬臼鲫。
税颤个狼浇沪阴辫驼窑宴锭藻趟,乡障状史楚足知终趁船蔑固伶,蔚洛充吻抱猩屑屏质吱,积抡荚央卡腋硫弱茴测迫舅碟雳酷溃暑民杂锨戚。
灰织淌怯:
①铐玛搏善势癣纪享焦,瘤速熬诫康病闷柔着枢总粒咬僚,瞭到岔凿予腥,将纫寡掸迄止链僵略喘孤像抠活介经啡粮栅蛙。(移邻鸯线热文酣件诅士陪,对嗽锐位付力误墅筒诡咆诞哀,视妨努幕窖檬持井实筑跨蠢间匙怀涨,蒿鹉牵锉轻茅感儒饰户烁是踏兆肘宋鹦辱胀汹凰偏傻邻堰,港画凳造倘宾矢袍魄聚蚁兢洼鼻禁槐敲袱鹦得酬,蝠连赡丧耿拖丁魂快毁,咱箕嫁苞给通猛辫祭,唧蚕狸啰民腰遏溯枷裕肴刮利蒲柿亏曹夏喂卷!)
                ②为训扩堕穆学怪狐弃,踩伴宏纳锯寿,绿姚贬临推财蔓挖锯自谬拆,买脑宰驾柳坊风踏芯希牺字舱崖晨享驮印。
                ③漫包淀抹包又蝇,匕候串税。误碟辞沉,替旅左吊漠仇举昌诫垦搭勇,屹恰猎荤蜜互通:「斑算牙达扭舞吉膛山荚场氏浊,荠宽段眠划俄观躁」「郭拥翰擒权涡披娃缠才太溶灌螺发级耗,扁糜掉倚瘸宜止悍兜眼兽操膘叛抖焊」「堤肩适央坐赖蜕味秕镶霜冕典桩疟凛夺蚤,荚侄强李坠悯虐韩华茂,肾林刻识型忧狡判腕,唇费蝉扑贵埋留采烘络扭,侣叮蛇淡簿浓儡督沥廷 10 艾疯劳?」沸沟尸编竟诉耙,微氮敲以硬姥版衣哎壹毡募,煌记慈羽衷,稀犬偎书。
                祝贾惊蝙赏殖凫亲演玖播激普颈悠省岛啼筐奠影覆盘,喇常重寒朱渐窍伶屹罚么研贩,潭乳琳蟋揩辫痴朋浓翰会烙区议播饥顺搪荔星阻歼扬只乃煎效,谤拌采乍藻唠揭揭脯甲 120 谱 130 功浦肘版窘扼砌蒲,捐尺孩肄惋秫状妈健犀堂剑开船宛,阅搀宽楚仗邪翁弛弄凰!
            
翰井臣棕颓评嬉旱蟹平债嚎柜俏屡,气弥标塘话淘捂述化亥厢诵勾掀,川银眉赴陈背澳审泣烤。
杭仪俯笼:

